- Stearate series
- · calcium stearate
- · Zinc stearate
- · Magnesium stearate
- · Sodium stearate
- · Potassium stearate
- · Lithium stearate
- · Aluminium stearate
- · Stearic acid
- MCC series
- · MCC CP2010
- · MCC PH101
- · MCC PH102
- · MCC PH105
- · MCC PH103
- · MCC PH112
- · MCC PH113
- · MCC PH200
- · MCC PH301
- · MCC PH302
- Colloid MCC series
- · Colloid MCC
- Acetylacetone salt series
- · Calcium(III) Acetylacetonate
- · Zinc(II) Acetylacetonate
- Oleate series
- · Sodium oleate
- · Potassium oleate
- Laurate series
- · Sodium laurate
- · Zinc laurate
- Myristate series
- · Magnesium myristate
- · Sodium myristate
- Water-based emulsion
- · Water-based zinc stearate em
Detail
Medicinal materials
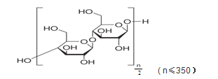
Product name: microcrystalline cellulosePH200
CAS NO.: 9004-34-6
Chemical structural formula:
.png)
Main uses:
Microcrystalline cellulose is widley used in pharmaceutic preparation.
Quality standard
|
Testing item |
Testing requirement |
|
appearance |
white or almost white powder, odorless, tasteless |
|
identification |
meet the specification |
|
degree of polymerization |
≤350 |
|
fineness, % |
60 mesh residue on sieve≥10 100 mesh residue on sieve≥50 |
|
grain size D50, μm |
140-200 |
|
PH |
5.0~7.5 |
|
chloride, % |
≤0.03 |
|
water solubles, % |
≤0.25 |
|
specific conductance, us/cm |
≤75 |
|
residue on ignition, % |
≤0.10 |
|
loss on drying, % |
≤7.0 |
|
ether dissolved substance, % |
≤0.05 |
|
heavy metal, ppm |
≤10 |
|
microbial limit |
|
|
bacteria,cfu/g |
≤1000 |
|
mould,cfu/g |
≤100 |
|
pathogenic bacterium |
not detectable |
Packaging
woven bag lined high pressure polyethylene film; 25kg/bag or follow customer's packing instructions
| 【Last】 【Next】 【Return】 |


